Skip to content
PDF-Vorlage

Verkaufsvorlage

Diese Dinge sollten Sie bei Ihrer Verkaufsvorlage beachten

Sie suchen eine Vorlage für einen Kaufvertrag, den Sie für Ihr Unternehmen verwenden können? Wir haben eine Vorlage, die Sie noch heute an Ihre Bedürfnisse anpassen können.

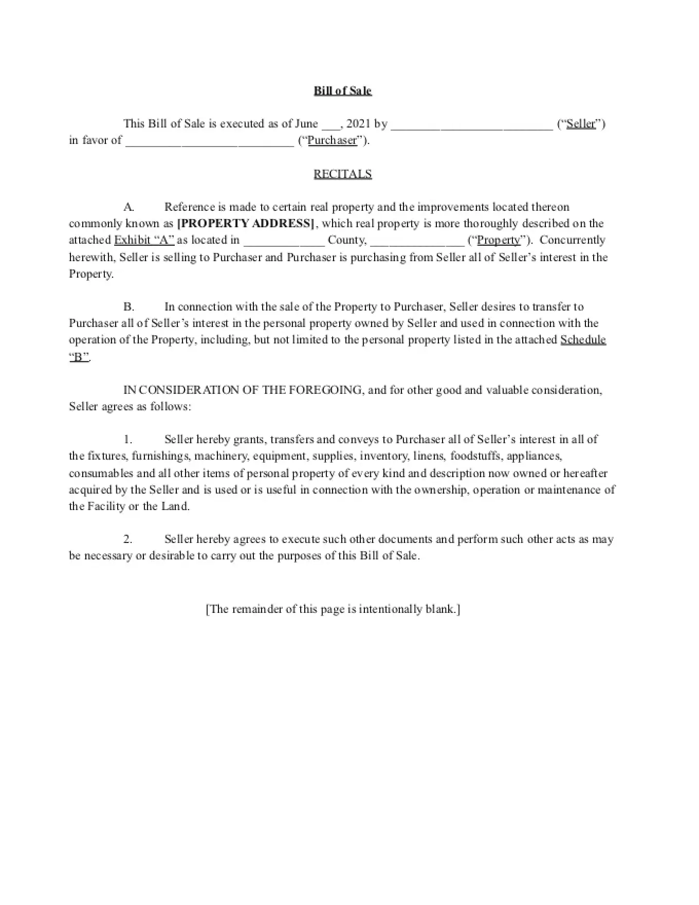
Ein Kaufvertrag ist ein juristisches Dokument, das den Abschluss eines Verkaufs belegt. Dieses Dokument gilt in der Regel für den Kauf eines hochpreisigen Gebrauchsgegenstands, wie z. B. eines Gebrauchtwagens. Es bietet sowohl dem Käufer als auch dem Verkäufer rechtlichen Schutz, um nachzuweisen, dass der Verkauf stattgefunden hat und das Eigentum von einer Partei auf die nächste übergegangen ist.

Eine Vorlage für einen Kaufvertrag kann hilfreich sein, wenn Sie noch nie einen solchen erstellt haben. Dieser Leitfaden soll Ihnen helfen zu verstehen, was in Ihrem Kaufvertrag enthalten sein sollte.

Nachfolgend behandeln wir

  • Grundlegende Teile eines Kaufvertrags
  • Tipps für ein Kaufvertragsformular
  • Arten von Eigentum, für die ein Kaufvertrag erforderlich ist
  • Links zu zusätzlichen Ressourcen
  • Unterzeichnung eines Kaufvertrags für die Legalität

Grundlegende Teile eines Kaufvertrags

Ein Kaufvertrag besteht aus mehreren Teilen. Vergewissern Sie sich, dass die Vorlage, die Sie in Betracht ziehen, einen Platz für jeden dieser Teile hat:

  • Datum des Verkaufs
  • Name und Kontaktinformationen von Käufer und Verkäufer
  • Beschreibung des Vermögenswerts
  • Verkaufspreis
  • Garantie über andere Forderungen und Pfandrechte
  • Garantieabdeckung
  • Unterschrift

Tipps für ein Kaufvertragsformular

Achten Sie beim Ausfüllen eines Kaufvertrags darauf, dass Sie so detailliert wie möglich sind. Hier sind einige Stellen, an denen zusätzliche Details hilfreich sein können.

  • Beschreibung des Vermögenswerts - Geben Sie hier alles an, was Sie können, einschließlich Jahr, Marke, Modell, Kilometerstand, VIN und Kennzeichen des Fahrzeugs. Je anschaulicher Sie sind, desto geringer ist die Wahrscheinlichkeit, dass es später zu Streitigkeiten kommt.
  • Verkaufspreis - Geben Sie den Verkaufspreis des Fahrzeugs an. Wenn es sich um ein Geschenk handelt, prüfen Sie die Gesetze Ihres Landes über Geschenke und Teilgeschenke und stellen Sie sicher, dass Sie den Verkaufspreis im Einklang mit den staatlichen Gesetzen angeben.
  • Zahlungsmethode - Geben Sie die Zahlungsmethode an, z. B. Scheck und Schecknummer, falls zutreffend.
  • Besondere Bedingungen - Wenn es besondere Bedingungen für den Verkauf gibt, geben Sie diese Informationen an. Wenn das Auto zum Beispiel mit einer Garantie verkauft wird, geben Sie diese Information an. Wenn das Fahrzeug "wie besehen" verkauft wird, müssen Sie diese Informationen ebenfalls angeben.

Nachdem Sie all diese Informationen erhalten haben, lassen Sie den Kaufvertrag von allen Beteiligten unterschreiben. Geben Sie dann sowohl dem Käufer als auch dem Verkäufer eine Kopie.

Arten von Immobilien, für die ein Kaufvertrag erforderlich ist

Kaufverträge sind zwar beim Verkauf von Autos üblich, werden aber auch beim Verkauf anderer hochpreisiger Gegenstände benötigt, für die ein Eigentumsnachweis erforderlich ist. Dazu gehören Tiere, Flugzeuge, Haushaltsgeräte, Sportgeräte und Wohnmobile.

Links zu weiteren Ressourcen

Wenn Sie mehr über die Unterzeichnung eines Kaufvertrags oder die Verwendung einer Kaufvertragsvorlage erfahren möchten, besuchen Sie diese Seiten:

Unterzeichnung eines Kaufvertrags, um ihn rechtsgültig zu machen

Bevor Sie mit dem Kaufvertrag fertig sind, muss er unterzeichnet werden. Sowohl der Käufer als auch der Verkäufer müssen das Dokument unterschreiben. In einigen Staaten muss auch ein Notar die Unterschrift beglaubigen und unterschreiben. Mit Nitro Sign  können Sie ganz einfach digitale Unterschriften sammeln, um Ihren Kaufvertrag schneller fertig zu stellen. Melden Sie sich noch heute für eine kostenlose Testversion von Nitro Sign an oder laden Sie Ihre Kaufvertragsvorlage herunter, um loszulegen.

HAFTUNGSAUSSCHLUSS: Die auf der Nitro-Website bereitgestellten Vertragsvorlagen dienen nur zu Informationszwecken und sind als Ausgangspunkt für die Erstellung individueller Dokumente gedacht. Der hier gezeigte Inhalt, einschließlich der Vorlagen, stellt keine Rechtsberatung dar. Nitro gibt keine Zusicherungen oder Garantien hinsichtlich der Richtigkeit, Vollständigkeit oder Eignung der bereitgestellten Informationen. Die Verwendung dieser Materialien erfolgt auf eigene Gefahr. Wir empfehlen dringend, einen qualifizierten Rechtsbeistand zu konsultieren, um die Einhaltung der geltenden Gesetze und Vorschriften sicherzustellen.

Sehen Sie, was Nitro für Sie tun kann

Machen Sie noch heute den nächsten Schritt, um digital erfolgreich zu sein.

Icon-48px-Rapid Support

Vertrieb kontaktieren

Sprechen Sie mit unseren Experten über Ihre geschäftlichen Anforderungen und entdecken Sie kostengünstige Optionen für die erstklassigen PDF- und eSigning-Lösungen von Nitro.
Nehmen Sie Kontakt auf
Icon-48px-Smart signing

Kostenlose Testversion

Testen Sie die PDF- und eSigning-Lösungen von Nitro, um Dokumente mühelos zu bearbeiten, zu signieren und zu organisieren – 14 Tage lang kostenlos!
Starten Sie Ihre kostenlose Testversion
icon of people with a plus sign

Registrierung als Partner

Erfahren Sie mehr über unsere spannenden Möglichkeiten als Partner für die vertrauenswürdigen Dokumentenlösungen von Nitro.
Werden Sie noch heute Partner von Nitro