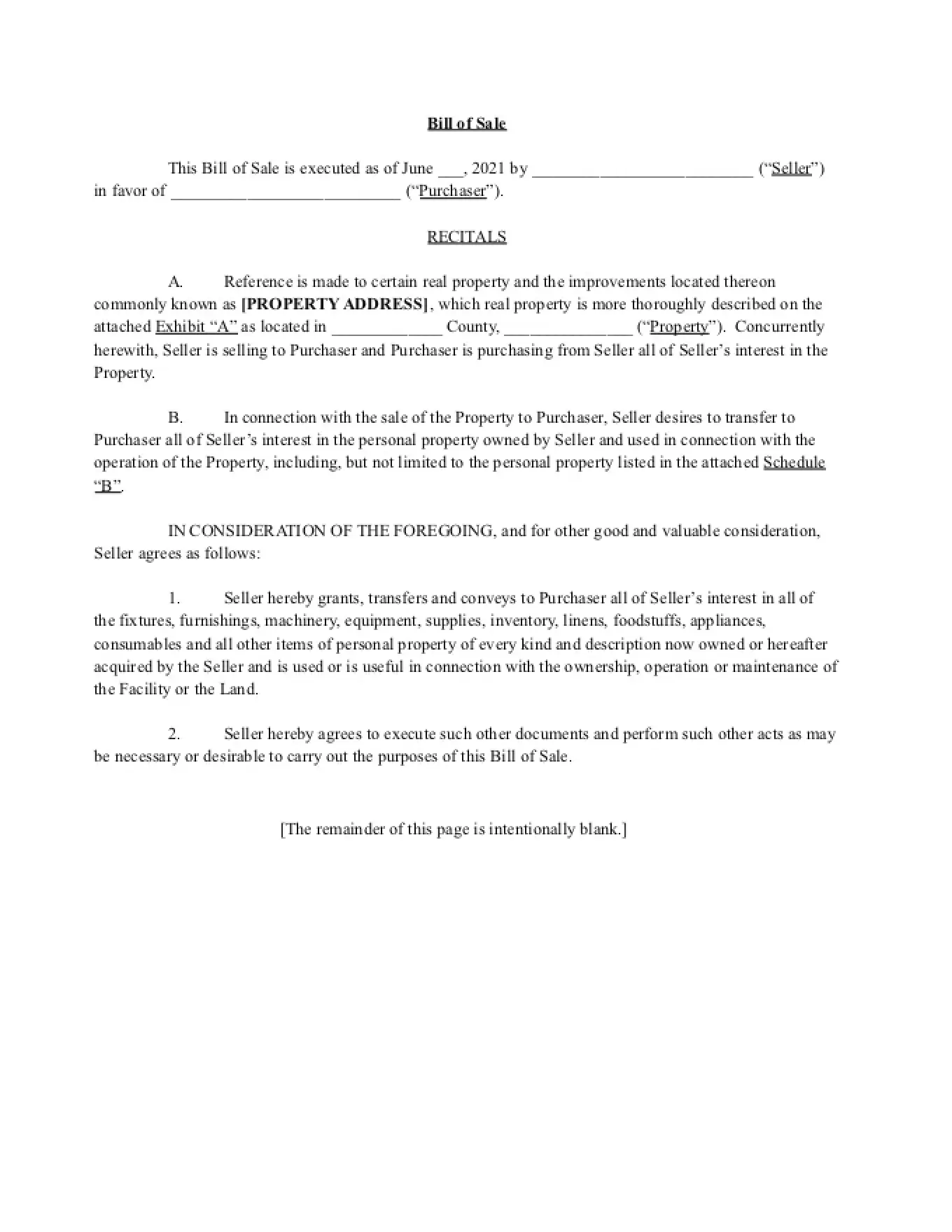
Skip to content
Plantilla PDF

Plantilla de factura de venta

Tenga en cuenta estos aspectos con su plantilla de factura de venta

¿Busca una factura de compra para su empresa? Tenemos una plantilla lista para personalizar según sus necesidades.

Una factura de compra es un documento legal que demuestra que se ha producido una venta. Este documento suele aplicarse a la compra de un artículo usado de precio elevado, como un coche de segunda mano. Proporciona protección legal tanto al comprador como al vendedor para demostrar que la venta ha tenido lugar y que la propiedad se ha transferido de una parte a otra.

Una plantilla de contrato de compraventa puede ser útil si nunca ha creado uno antes. Esta guía le ayudará a entender qué debe incluirse en su contrato de compraventa.

A continuación cubriremos

  • Partes básicas de una factura de compra
  • Consejos para una factura de compra
  • Tipos de propiedad que requieren un contrato de compraventa
  • Enlaces a recursos adicionales
  • Cómo firmar una factura de compra para que sea legal

Partes básicas de una factura de compra

Una factura de compra contiene varias partes. Asegúrese de que la plantilla que está considerando tiene un lugar para cada una de ellas:

  • Fecha de la venta
  • Nombre e información de contacto del comprador y el vendedor
  • Descripción del bien
  • Precio de venta
  • Garantía sobre otras reclamaciones y gravámenes
  • Cobertura de la garantía
  • Firma

Consejos para un contrato de compraventa

Cuando rellene un documento de contrato de compraventa, asegúrese de ser lo más detallado posible. A continuación se indican algunos puntos en los que puede ser útil incluir detalles adicionales.

  • Descripción del bien - Añada aquí todo lo que pueda, incluido el año, la marca, el modelo, el kilometraje, el número de bastidor y la matrícula del vehículo. Cuanto más descriptivo sea, menos probabilidades habrá de que surja una disputa más adelante.
  • Precio de venta: indique el precio de venta del vehículo. Si se trata de un regalo, compruebe las leyes de su estado sobre regalos y regalos parciales, y asegúrese de indicar el precio de venta de acuerdo con las leyes estatales.
  • Forma de pago - Anota la forma de pago, como el cheque y el número de cheque, si procede.
  • Condiciones especiales - Si existen condiciones especiales de venta, incluye esta información. Por ejemplo, si el coche tiene garantía, incluya esa información. Si se vende "tal cual", deberás incluir esa información.

Cuando tenga toda esta información, haga que las partes necesarias firmen la escritura de compraventa. A continuación, entregue una copia tanto al comprador como al vendedor.

Tipos de propiedad que requieren un contrato de compraventa

Aunque los documentos de compraventa son habituales en la venta de coches, también son necesarios en la venta de otros artículos de alto precio que tienen un registro de propiedad. Esto incluye animales, aviones, electrodomésticos, equipos de ejercicio y vehículos recreativos.

Enlaces a recursos adicionales

Para obtener más información sobre cómo firmar un contrato de compraventa o cómo utilizar una plantilla de contrato de compraventa, visite estas páginas:

Firmar una factura de compra para que sea legal

Antes de terminar con la factura de compra, hay que firmarla. Tanto el comprador como el vendedor deben firmar el documento. En algunos estados, un notario también tendrá que dar fe de la firma y firmar. Puede utilizar Nitro Sign  para recopilar fácilmente firmas digitales y completar más rápidamente su contrato de compraventa. Regístrese para obtener una prueba gratuita de Nitro Sign hoy mismo o descargue su plantilla de contrato de compraventa para empezar.

DESCARGO DE RESPONSABILIDAD: Las plantillas de contrato proporcionadas en el sitio web de Nitro son sólo para fines informativos y están pensadas como punto de partida para crear documentos personalizados. El contenido mostrado aquí, incluidas las plantillas, no constituye asesoramiento legal. Nitro no representa ni garantiza la exactitud, integridad o idoneidad de la información proporcionada. El uso de estos materiales corre por su cuenta y riesgo. Recomendamos encarecidamente consultar a un asesor legal cualificado para garantizar el cumplimiento de las leyes y normativas aplicables.

Descubra lo que Nitro puede hacer por usted

Dé hoy el siguiente paso hacia el éxito digital.

Icon-48px-Rapid Support

Contactar con ventas

Hable con nuestros expertos sobre las necesidades de su empresa y explore opciones rentables para las soluciones PDF y eSign de primera clase de Nitro.
Póngase en contacto con nosotros
Icon-48px-Smart signing

Prueba gratuita

Pruebe las soluciones PDF y eSign de Nitro para editar, firmar y organizar documentos sin esfuerzo, ¡gratis durante 14 días!
Comience su prueba gratuita
icon of people with a plus sign

Conviértase en socio

Descubra nuestras emocionantes oportunidades de colaboración para las soluciones documentales de confianza de Nitro
Asóciese con Nitro hoy mismo