Skip to content
PDF-Vorlage

Hausumbau Vertrag Vorlage

Wichtige Klauseln in einer Vertragsvorlage für den Hausumbau

Suchen Sie nach einer Vertragsvorlage für einen Hausumbau, die Sie für Ihr Unternehmen mit Kunden verwenden können? Wir haben eine Vorlage, die Sie noch heute für Ihre Bedürfnisse anpassen können.

Wenn Sie im Bau- und Renovierungsgewerbe tätig sind, wissen Sie wahrscheinlich, wie wichtig ein Vertrag ist. Ihre Leistungen sind wertvoll, und Sie müssen sicherstellen, dass Sie dafür angemessen bezahlt werden. Aber Sie wollen auch dafür sorgen, dass sich Ihre Kunden sicher fühlen. Mit einer Vertragsvorlage für den Hausumbau können Sie dies leichter erreichen, denn Sie haben alle Grundlagen und können die Details ausfüllen. Hier ist, was Sie wissen sollten.

Das Inhaltsverzeichnis

Eine Vertragsvorlage für den Umbau eines Hauses ist relativ spezifisch, aber es gibt dennoch Bereiche, die Sie ausfüllen müssen. Wenn Sie wissen, wie Sie vorgehen müssen und was zu beachten ist, können Sie den Vertrag leichter und schneller fertigstellen und unterschreiben, so dass Sie mit der Arbeit beginnen können. In diesem Artikel sprechen wir über:

  • Wichtige Klauseln
  • Bewährte Praktiken
  • Tipps zur Sicherheit
  • Wichtige Überlegungen
  • Zusätzliche Quellen

Wenn Ihr Renovierungsunternehmen von einem Kunden beauftragt wird, kommt es auf die Details an. Um sicherzustellen, dass alle wichtigen Punkte im Vertrag enthalten sind, sollten Sie die wichtigsten Klauseln berücksichtigen. Dies sind einige der häufigsten Klauseln, auf die Sie achten sollten.

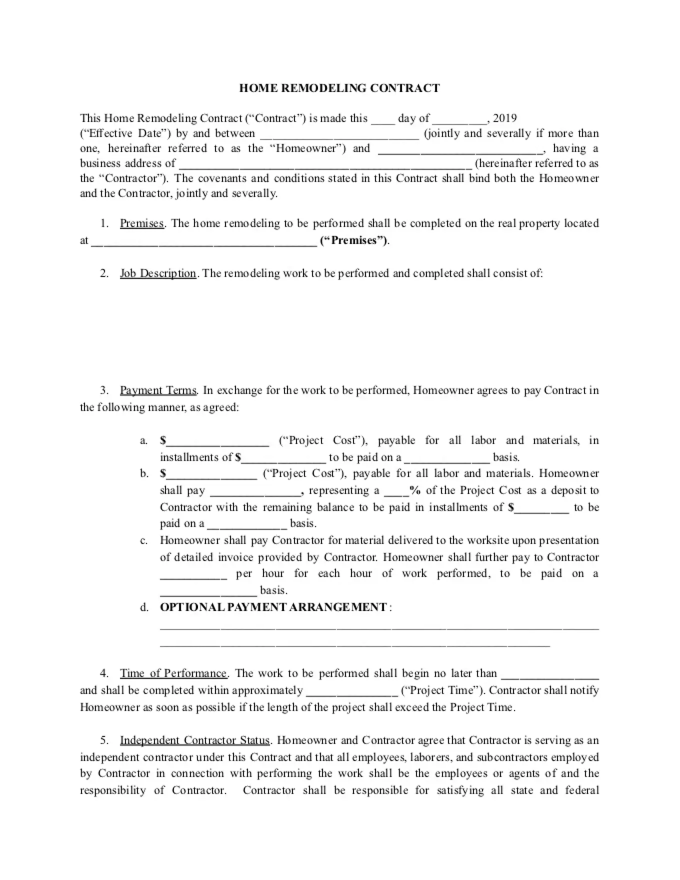
  1. Umfang des Auftrags - Sowohl Sie als auch der Kunde müssen wissen, was genau gemacht wird, damit zwischen dem Kunden und Ihrem Unternehmen ein klares Einvernehmen besteht.
  2. Zahlungsmodalitäten - Es kommt darauf an, wie und wann und in welcher Höhe Sie bezahlt werden, und der Kunde muss wissen, wann diese Zahlungen fällig sind.
  3. Zeitplan - Der Kunde braucht einen ungefähren Zeitplan für die Fertigstellung der Arbeit und sollte wissen, was passiert, wenn die Arbeit länger dauert als erwartet.
  4. Materialien - Die spezifischen Materialien, die Sie für den Auftrag verwenden, müssen in den Vertrag aufgenommen werden, da manche Materialien viel mehr kosten als andere.
  5. Kündigungsklausel - Wenn der Kunde oder Ihr Unternehmen den Auftrag kündigen darf, sollten die Gründe dafür klar sein.

Bewährte Praktiken bei einem Vertrag für den Hausumbau

Sie müssen Ihren Vertrag nicht von Grund auf neu erstellen, um alle richtigen Informationen darin zu haben. Wenn Sie eine Vertragsvorlage für den Hausumbau verwenden, stehen Ihnen die grundlegenden Informationen und die juristischen Formulierungen zur Verfügung. Dann müssen Sie nur noch die Details eintragen. Um sicherzustellen, dass Sie sich an die besten Praktiken für Ihre Branche halten, sollten Sie Folgendes beachten:

  • Belassen Sie die rechtlichen Hinweise in der Vorlage, denn sie sind nicht ohne Grund dort enthalten.
  • Vergewissern Sie sich, dass Sie alle wichtigen Bereiche des Vertrags abgedeckt haben, indem Sie die Details ausfüllen.
  • Alle ungewöhnlichen Umstände oder Besonderheiten, die mit dem Kunden besprochen werden müssen.

Wenn Sie alles über das Hausumbauprojekt angeben, können Ihre Kunden beruhigt sein, denn sie wissen, was sie bekommen und wofür sie bezahlen. Außerdem schützen Sie damit Ihr Unternehmen auch in rechtlicher Hinsicht.

Sicherheitstipps für einen Hausumbauvertrag

Wie jede rechtsverbindliche Vereinbarung muss auch ein Vertrag über den Umbau eines Hauses vom Kunden und von Ihrem Unternehmen unterzeichnet und ernst genommen werden. Um alle Unterzeichner des Dokuments zu schützen, sollten Sie den Vertrag elektronisch versenden (und unterschreiben lassen). Unter   können Sie Nitro Sign für Ihre wichtigen Verträge und Dokumente verwenden , damit Sie sich sicher fühlen und Ihre Kunden beruhigt sein können.

Wichtige Überlegungen zu Verträgen für den Hausumbau

Die von Ihnen gewählte Vertragsvorlage für den Hausumbau muss die Besonderheiten Ihres Unternehmens und Ihres Auftrags sowie den Umfang und die Details enthalten, auf die Sie und der Kunde sich geeinigt haben. Der richtige Wortlaut und die Rechtssprache sind wichtig, aber das sind nicht die einzigen Bereiche, auf die Sie achten müssen. Denken Sie auch an die folgenden Fragen:

  • Ist der Vertragstext vollständig und korrekt?
  • Sind alle erforderlichen Details im Vertrag enthalten?
  • Schützt der Renovierungsvertrag Ihr Unternehmen und ist er fair gegenüber dem Kunden?
  • Gibt es zusätzliche Überlegungen, die Sie anstellen müssen?

Die richtige Vertragsvorlage für den Umbau Ihres Hauses wird Ihnen die Beantwortung dieser Fragen erleichtern. Sie haben alle grundlegenden Informationen zur Hand und müssen nur noch die erforderlichen Ergänzungen vornehmen, um einen vollständigen Renovierungsvertrag zu erstellen, den Ihr Kunde mit gutem Gewissen unterschreiben kann.

Zusätzliche Informationen und Ressourcen

Möchten Sie mehr darüber erfahren, wie eine Vertragsvorlage für den Umbau Ihres Hauses für Ihr Unternehmen funktionieren kann? Hier finden Sie weitere Informationen über gängige Klauseln und unverzichtbare Elemente für Renovierungsunternehmen.

Übliche Vertragsklauseln für Renovierungsarbeiten 
Must-Haves für Renovierungsverträge 
Was ein Bauunternehmer über seine Kunden wissen sollte 

HAFTUNGSAUSSCHLUSS: Die auf der Nitro-Website zur Verfügung gestellten Vertragsvorlagen dienen nur zu Informationszwecken und sind als Ausgangspunkt für die Erstellung individueller Dokumente gedacht. Der hier gezeigte Inhalt, einschließlich der Vorlagen, stellt keine Rechtsberatung dar. Nitro gibt keine Zusicherungen oder Garantien hinsichtlich der Richtigkeit, Vollständigkeit oder Eignung der bereitgestellten Informationen. Die Verwendung dieser Materialien erfolgt auf eigene Gefahr. Wir empfehlen dringend, einen qualifizierten Rechtsbeistand zu konsultieren, um die Einhaltung der geltenden Gesetze und Vorschriften sicherzustellen.

Sehen Sie, was Nitro für Sie tun kann

Machen Sie noch heute den nächsten Schritt, um digital erfolgreich zu sein.

Icon-48px-Rapid Support

Vertrieb kontaktieren

Sprechen Sie mit unseren Experten über Ihre geschäftlichen Anforderungen und entdecken Sie kostengünstige Optionen für die erstklassigen PDF- und eSigning-Lösungen von Nitro.
Nehmen Sie Kontakt auf
Icon-48px-Smart signing

Kostenlose Testversion

Testen Sie die PDF- und eSigning-Lösungen von Nitro, um Dokumente mühelos zu bearbeiten, zu signieren und zu organisieren – 14 Tage lang kostenlos!
Starten Sie Ihre kostenlose Testversion
icon of people with a plus sign

Registrierung als Partner

Erfahren Sie mehr über unsere spannenden Möglichkeiten als Partner für die vertrauenswürdigen Dokumentenlösungen von Nitro.
Werden Sie noch heute Partner von Nitro