Skip to content
Plantilla PDF

Plantilla de contrato de remodelación de viviendas

Cláusulas importantes en una plantilla de contrato de remodelación de viviendas

¿Busca una plantilla de contrato de remodelación de viviendas para su negocio? Tenemos una plantilla lista para personalizar según sus necesidades.

Si trabaja en el sector de la construcción y la remodelación, probablemente conozca la importancia de un contrato. Tus servicios son valiosos y necesitas asegurarte de que te pagan lo justo por ellos. Pero también quiere que sus clientes se sientan seguros. Puede hacerlo más fácilmente con una plantilla de contrato de remodelación de viviendas, de modo que tenga todo lo básico y pueda completar los detalles. Esto es lo que hay que saber.

Tabla de contenidos

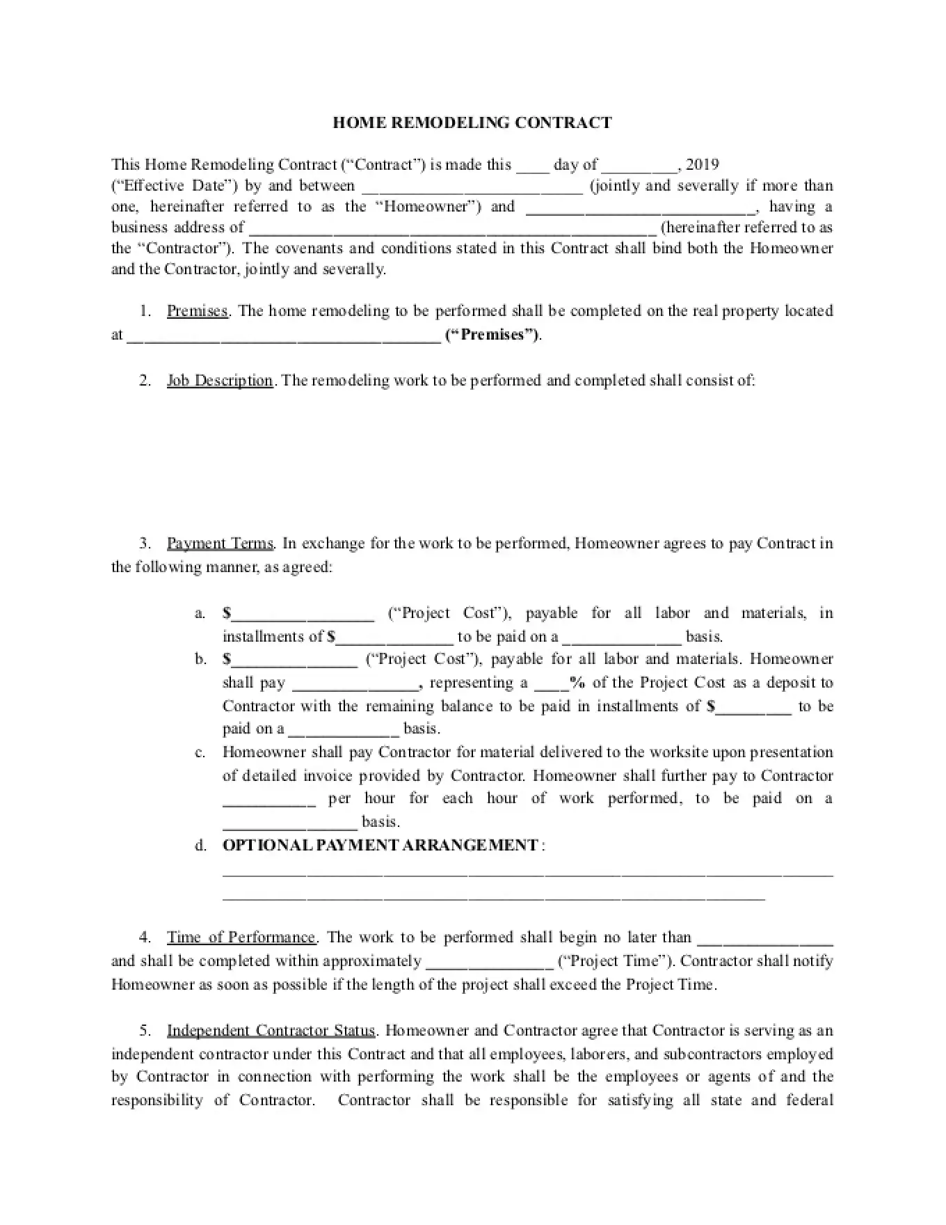
Una plantilla de contrato de remodelación de vivienda va a ser relativamente específica, pero aún así habrá áreas que tendrá que completar. Saber cómo hacerlo, y qué tener en cuenta, hace que sea más fácil y más rápido para que usted pueda obtener el contrato hecho y firmado, por lo que puede comenzar en el trabajo. En este artículo hablaremos de:

  • Cláusulas importantes
  • Mejores prácticas
  • Consejos de seguridad
  • Consideraciones clave
  • Fuentes adicionales

Cuando su empresa de reformas es contratada por un cliente, los detalles importan. Para asegurarse de que todo lo importante está incluido en el contrato, deberá asegurarse de incluir las cláusulas más significativas. Éstas son algunas de las cláusulas más comunes.

  1. Alcance del trabajo: tanto usted como el cliente deben conocer los detalles de lo que se va a hacer, para que haya un entendimiento claro entre el cliente y su empresa.
  2. Detalles del pago: cómo y cuándo se le pagará a usted, y cuánto, es importante, y el cliente debe saber cuándo vencen esos pagos.
  3. Plazos: el cliente necesita un plazo aproximado para completar el trabajo y debe saber qué ocurre si éste se prolonga más de lo previsto.
  4. Materiales: el contrato debe incluir los materiales específicos que se utilizarán en el trabajo, ya que algunos cuestan mucho más que otros.
  5. Cláusula derescisión: si el cliente puede rescindir el contrato, o si su empresa puede hacerlo, los motivos deben quedar claros.

Mejores prácticas con un contrato de remodelación de viviendas

No necesita crear su contrato desde cero para tener toda la información correcta en él. Usando una plantilla casera del contrato que remodela, usted puede tener la información boilerplate básica y la lengua legal disponibles. Después, todo lo que tienes que hacer es rellenar los detalles. Para asegurarse de que sigue las mejores prácticas de su sector, tenga en cuenta lo siguiente:

  • Dejar el lenguaje legal en la plantilla, ya que está ahí por una razón.
  • Asegurarte de que has cubierto todas las áreas principales del contrato rellenando los detalles.
  • Cualquier circunstancia inusual o específica que deba tratarse con el cliente.

Cuando se incluye todo lo relacionado con el proyecto de remodelación de la vivienda, los clientes están más tranquilos y saben lo que reciben y por lo que pagan. También ayuda a proteger su negocio de remodelación desde un punto de vista legal.

Consejos de seguridad para un contrato de remodelación de viviendas

Como cualquier acuerdo legalmente vinculante, un contrato de remodelación de viviendas debe ser firmado por el cliente y su empresa, y debe tomarse en serio. Para proteger a todos los que firman el documento, considere la posibilidad de enviar el contrato (y hacerlo firmar) electrónicamente. Puede utilizar Nitro Sign para sus contratos y documentos importantes , de modo que pueda sentirse seguro y ofrecer tranquilidad a sus clientes.

Consideraciones clave para los contratos de remodelación de viviendas

La plantilla de contrato de remodelación del hogar que elija deberá rellenarse con los datos específicos de su empresa y trabajo, junto con el alcance y los detalles que usted y el cliente hayan acordado. La redacción correcta y el lenguaje jurídico son importantes, pero no son las únicas áreas a las que deberá prestar atención. Asegúrate también de tener en cuenta las siguientes cuestiones:

  • ¿La redacción del contrato es completa?
  • ¿Se incluyen en el contrato de remodelación todos los detalles necesarios?
  • ¿Protege el contrato de remodelación a su empresa y sigue siendo justo para el cliente?
  • ¿Hay otras consideraciones que deba tener en cuenta?

El modelo de contrato de remodelación adecuado le facilitará la respuesta a estas preguntas. Puede tener todos los elementos básicos al alcance de la mano y rellenar simplemente lo que necesite añadir para obtener un contrato de remodelación completo que su cliente pueda firmar con confianza.

Información y recursos adicionales

¿Está preparado para obtener más información sobre cómo puede beneficiar a su empresa una plantilla de contrato de remodelación? Aquí encontrará más información sobre las cláusulas más comunes y los elementos imprescindibles para las empresas de remodelación.

Cláusulas comunes de los contratos de remodelación 
Imprescindibles en los contratos de remodelación 
Lo que un contratista de remodelaciones quiere que sepan sus clientes 

DESCARGO DE RESPONSABILIDAD: Las plantillas de contrato que se ofrecen en el sitio web de Nitro sólo tienen fines informativos y están pensadas como punto de partida para crear documentos personalizados. El contenido mostrado aquí, incluidas las plantillas, no constituye asesoramiento legal. Nitro no representa ni garantiza la exactitud, integridad o idoneidad de la información proporcionada. El uso de estos materiales corre por su cuenta y riesgo. Recomendamos encarecidamente consultar a un asesor legal cualificado para garantizar el cumplimiento de las leyes y normativas aplicables.

Descubra lo que Nitro puede hacer por usted

Dé hoy el siguiente paso hacia el éxito digital.

Icon-48px-Rapid Support

Contactar con ventas

Hable con nuestros expertos sobre las necesidades de su empresa y explore opciones rentables para las soluciones PDF y eSign de primera clase de Nitro.
Póngase en contacto con nosotros
Icon-48px-Smart signing

Prueba gratuita

Pruebe las soluciones PDF y eSign de Nitro para editar, firmar y organizar documentos sin esfuerzo, ¡gratis durante 14 días!
Comience su prueba gratuita
icon of people with a plus sign

Conviértase en socio

Descubra nuestras emocionantes oportunidades de colaboración para las soluciones documentales de confianza de Nitro
Asóciese con Nitro hoy mismo