Skip to content
PDF Template

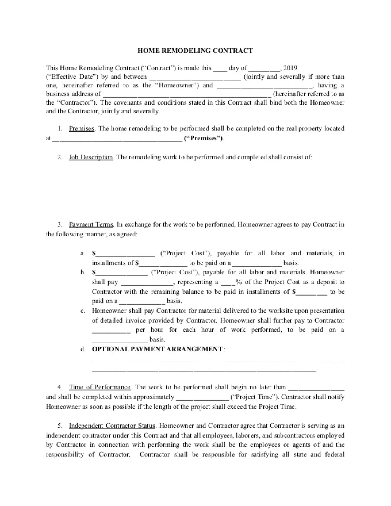
Home Remodeling Contract Template

Important Clauses in a Home Remodeling Contract Template

Looking for a home remodeling contract template to use with clients for your business? We’ve got a template ready to be customized for your needs today.

If you're working in construction and remodeling, you probably know the importance of a contract. Your services are valuable, and you need to make sure you're being paid fairly for them. But you also want to help your clients feel secure, as well. You can do that more easily with a home remodeling contract template, so you have all the basics and can fill in the details. Here's what to know.

Table of Contents

A home remodeling contract template is going to be relatively specific, but there will still be areas you'll have to complete. Knowing how to do that, and what to consider, makes it easier and faster for you to get the contract done and signed, so you can start on the job. In this article, we'll talk about:

  • Important Clauses
  • Best Practices
  • Security Tips
  • Key Considerations
  • Additional Sources

When your remodeling company is hired by a client, the details matter. To make sure everything that's important is included in the contract, you'll want to be sure you have the most significant clauses included. These are some of the most common clauses to look for.

  1. Scope of the Job -- Both you and the client need to know the specifics of what's being done, so there's a clear understanding between the client and your company.
  2. Payment Details -- How and when you'll be paid, and how much, all matter, and the client needs to be aware of when those payments are due.
  3. Timeline -- The client needs an approximate timeline for getting the work completed, and should understand what happens if the work takes longer than expected.
  4. Materials -- The specific materials you're using on the job need to be included in the contract, as some types of materials cost much more than others.
  5. Termination Clause -- If the client is allowed to terminate the job, or your company is, the reasons that would be allowed should be clear.

Best Practices with a Home Remodeling Contract

You don't need to create your contract from scratch to have all the right information in it. By using a home remodeling contract template, you can have the basic boilerplate information and legal language available. Then, all you have to do is fill in the details. To make sure you're following best practices for your industry, consider:

  • Leaving the legal language in the template, since it's there for a reason.
  • Making sure you've covered all the main areas of the contract, by filling in the details.
  • Any unusual circumstances or specifics that have to be addressed with the client.

When you include everything about the home remodeling project, your clients have peace of mind, and they know what they're getting and paying for. You also help to protect your remodeling business from a legal standpoint, as well.

Security Tips for a Home Remodeling Contract

Like any legally binding agreement, a home remodeling contract needs to be signed by the client and your company, and needs to be taken seriously. To protect everyone signing the document, consider sending the contract (and having it signed) electronically. You canuse Nitro Sign for your important contracts and documents so you can feel confident and provide peace of mind for your clients.

Key Considerations for Home Remodeling Contracts

The home remodeling contract template you choose will need to be filled out with the specifics of your company and job, along with the scope and details you and the client have agreed to. The right wording and legal language matter, but those aren't the only areas where you'll want to pay attention. Also make sure you're thinking about the following questions:

  • Is the contract's wording full and complete?
  • Is all the detail that's needed, included in the remodeling contract?
  • Does the remodeling contract protect your company, and remain fair to the client?
  • Are there additional considerations you need to address?

The right home remodeling contract template will make those questions easier for you to answer. You can have all the basics at your fingertips, and just fill out what you need to add, for a complete remodeling contract your client can sign with confidence.

Additional Information and Resources

Ready to learn more about how a home remodeling contract template can work for your company? Here's more information, on common clauses and must-haves for remodeling businesses.

Common Remodeling Contract Clauses
Must-Haves for Remodeling Contracts
What a Remodeling Contractor Wants Clients to Know

 

DISCLAIMER: The contract templates provided on Nitro's website are for informational purposes only and are intended as a starting point for creating customized documents. The content shown here, including the templates, does not constitute legal advice. Nitro makes no representations or warranties regarding the accuracy, completeness, or suitability of the information provided. Use of these materials is at your own risk. We strongly recommend consulting qualified legal counsel to ensure compliance with applicable laws and regulations.

See what Nitro can do for you

Take the next step to digital success today.

Icon-48px-Rapid Support

Contact sales

Talk to our experts about your business needs, and explore cost-effective options for Nitro's world-class PDF and eSign solutions.
Get in touch
Icon-48px-Smart signing

Free trial

Try Nitro’s PDF and eSign solutions to edit, sign, and organize documents effortlessly—free for 14 days!
Start your free trial
icon of people with a plus sign

Become a partner

Learn about our exciting partner opportunities for Nitro's trusted document solutions.
Partner with Nitro today