Skip to content
PDF-Vorlage

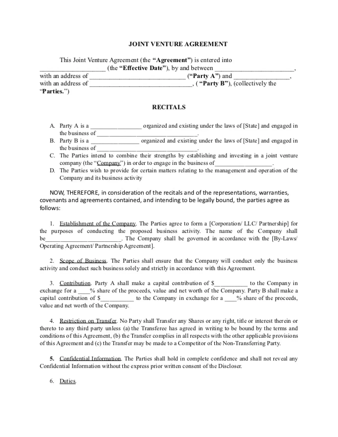
Joint-Venture-Vereinbarung

Eine Joint-Venture-Vereinbarung geht auf die wichtigsten Risiken ein, indem sie die Rechte und Pflichten der Geschäftspartner festlegt. Außerdem werden darin Verfahren zur Beilegung von Streitigkeiten festgelegt. So wichtig dieser Vertrag auch ist, so schwierig kann er doch zu verstehen sein. Um dies zu klären, erläutern wir im Folgenden die folgenden Punkte:

  • Wichtige Klauseln, die in jeder Joint-Venture-Vereinbarung enthalten sein sollten
  • Best Practices für die Anpassung einer Joint-Venture-Vertragsvorlage

Wichtige Klauseln, die in jeder Joint-Venture-Vereinbarung enthalten sein sollten

Eine gründliche Vorlage für eine Joint-Venture-Vereinbarung enthält die folgenden Bestimmungen:

  • Identifizierung aller am Joint Venture beteiligten Parteien: Diese Personen können als "Partei A" und "Partei B" bezeichnet werden. Ihre Namen und Adressen sollten zu Beginn des Dokuments genannt werden. Auch ihre geschäftlichen Absichten sollten genannt werden. Zum Beispiel: "Partei A ist im Bereich ____ tätig."
  • Beschreiben Sie den Umfang des Vorhabens. Erläutern Sie , welche Art von Unternehmen die genannten Parteien zu gründen beabsichtigen. In Frage kommen z. B. Aktiengesellschaften, GmbHs oder offene Handelsgesellschaften. In diesem Abschnitt kann auch der Name des neu gegründeten Unternehmens angegeben werden, ebenso wie die Notwendigkeit, es gemäß den Bestimmungen des beigefügten Gesellschaftsvertrags oder der Satzung zu betreiben.
  • Kapitaleinlagen und erhaltene Anteile:Es kann sein, dass die im Vertrag genannten Parteien nicht in der Lage sind, den gleichen Betrag an Kapital einzubringen. Daher sollte in dem Dokument dargelegt werden, wie viel jede Partei einbringt und welcher Anteil am Unternehmen im Austausch für das Kapital gewährt wird.
  • Zugewiesene Verantwortlichkeiten: Neben der Bereitstellung von Kapital müssen die Unterzeichner von Joint-Venture-Vereinbarungen unter Umständen auch eigene Verantwortlichkeiten übernehmen. Diese sollten in der Vereinbarung klar definiert werden.
  • Beschreibung von Ausfallsituationen und Abhilfemaßnahmen: Weisen Sie auf die verschiedenen Situationen hin , die einen Vertragsausfall darstellen. Beispiele hierfür sind Konkurs, Zwangsvollstreckungen oder Verstöße gegen die Vereinbarung. Im Vertrag sollte auch erläutert werden, wie die Beendigung im Falle einer Nichterfüllung erfolgen würde.

Best Practices für die Anpassung einer Joint-Venture-Vertragsvorlage

Eine Vorlage für eine Joint-Venture-Vereinbarung enthält zwar in der Regel alle oben genannten wesentlichen Klauseln, doch sollten diese Dokumente bei Bedarf angepasst werden, um den Gegebenheiten des jeweiligen Unternehmens gerecht zu werden.

Diese bewährten Verfahren sollen sicherstellen, dass jede Vorlage angemessen verwendet wird:

  • Konzentrieren Sie sich auf Ihre eigenen Interessen: Wenn Sie sich mit dem anderen Joint-Venture-Partner gut verstehen, kann es verlockend sein, Vereinbarungen zuzustimmen, die Ihnen oder Ihrem Unternehmen auf lange Sicht nicht wirklich zugute kommen. Denken Sie bei der Prüfung der Joint-Venture-Vereinbarung daran, dass an dem Klischee "es ist nichts Persönliches, es ist nur Geschäft" viel Wahres dran ist.
  • Prüfen Sie das Dokument vor der Unterzeichnung noch einmal. Bevor Sie eine Joint-Venture-Vereinbarung unterzeichnen, sollten Sie sich zu 100 Prozent sicher sein, dass sie genau auf Ihre Wünsche für die Zukunft Ihres Unternehmens zugeschnitten ist. Sehen Sie sich jedes Detail genau an, um sicherzustellen, dass das Dokument den vollen Schutz bietet, den Sie verdienen.
  • Sehen Sie die Möglichkeit vor, die Vereinbarung zu ändern. Im Laufe der Zeit können sich bestimmte Aspekte der Joint-Venture-Vereinbarung als nicht mehr relevant erweisen. Daher sollte die Vorlage eine Bestimmung enthalten, die Änderungen zulässt, sofern diese von allen Parteien gebilligt und schriftlich festgehalten werden.

Wie Sie eine Joint-Venture-Vereinbarung unterzeichnen lassen

Sobald Sie die Vorlagen für Joint-Venture-Vereinbarungen geprüft und die entsprechenden Anpassungen vorgenommen haben, ist es an der Zeit, den letzten Schritt zu tun und das Dokument von beiden Parteien unterzeichnen zu lassen.

Mit mehreren Unterschriften entsteht ein zusätzlicher Bedarf an Sicherheit; eine Lösung wie NitroSign kann dabei helfen. Sie können sich gerne für unsere  kostenlose Testversion  anmelden, die Ihnen den Wert unseres optimierten eSign-Workflows demonstriert.

HAFTUNGSAUSSCHLUSS: Die auf der Nitro-Website bereitgestellten Vertragsvorlagen dienen nur zu Informationszwecken und sind als Ausgangspunkt für die Erstellung individueller Dokumente gedacht. Der hier gezeigte Inhalt, einschließlich der Vorlagen, stellt keine Rechtsberatung dar. Nitro gibt keine Zusicherungen oder Garantien hinsichtlich der Richtigkeit, Vollständigkeit oder Eignung der bereitgestellten Informationen. Die Verwendung dieser Materialien erfolgt auf eigene Gefahr. Wir empfehlen dringend, einen qualifizierten Rechtsbeistand zu konsultieren, um die Einhaltung der geltenden Gesetze und Vorschriften sicherzustellen.

  

Sehen Sie, was Nitro für Sie tun kann

Machen Sie noch heute den nächsten Schritt, um digital erfolgreich zu sein.

Icon-48px-Rapid Support

Vertrieb kontaktieren

Sprechen Sie mit unseren Experten über Ihre geschäftlichen Anforderungen und entdecken Sie kostengünstige Optionen für die erstklassigen PDF- und eSigning-Lösungen von Nitro.
Nehmen Sie Kontakt auf
Icon-48px-Smart signing

Kostenlose Testversion

Testen Sie die PDF- und eSigning-Lösungen von Nitro, um Dokumente mühelos zu bearbeiten, zu signieren und zu organisieren – 14 Tage lang kostenlos!
Starten Sie Ihre kostenlose Testversion
icon of people with a plus sign

Registrierung als Partner

Erfahren Sie mehr über unsere spannenden Möglichkeiten als Partner für die vertrauenswürdigen Dokumentenlösungen von Nitro.
Werden Sie noch heute Partner von Nitro