Skip to content
Plantilla PDF

Acuerdo de empresa conjunta

Un acuerdo de empresa conjunta aborda los principales riesgos describiendo los derechos y responsabilidades de los socios comerciales. También destaca los procedimientos para resolver disputas. Sin embargo, por muy importante que sea este contrato, puede resultar difícil de entender. Para aclararlo, a continuación le explicamos lo siguiente:

  • Cláusulas importantes que todo acuerdo de Joint Venture debe incluir
  • Mejores Prácticas para Personalizar una Plantilla de Acuerdo de Joint Venture

Cláusulas importantes que todo acuerdo de joint venture debe incluir

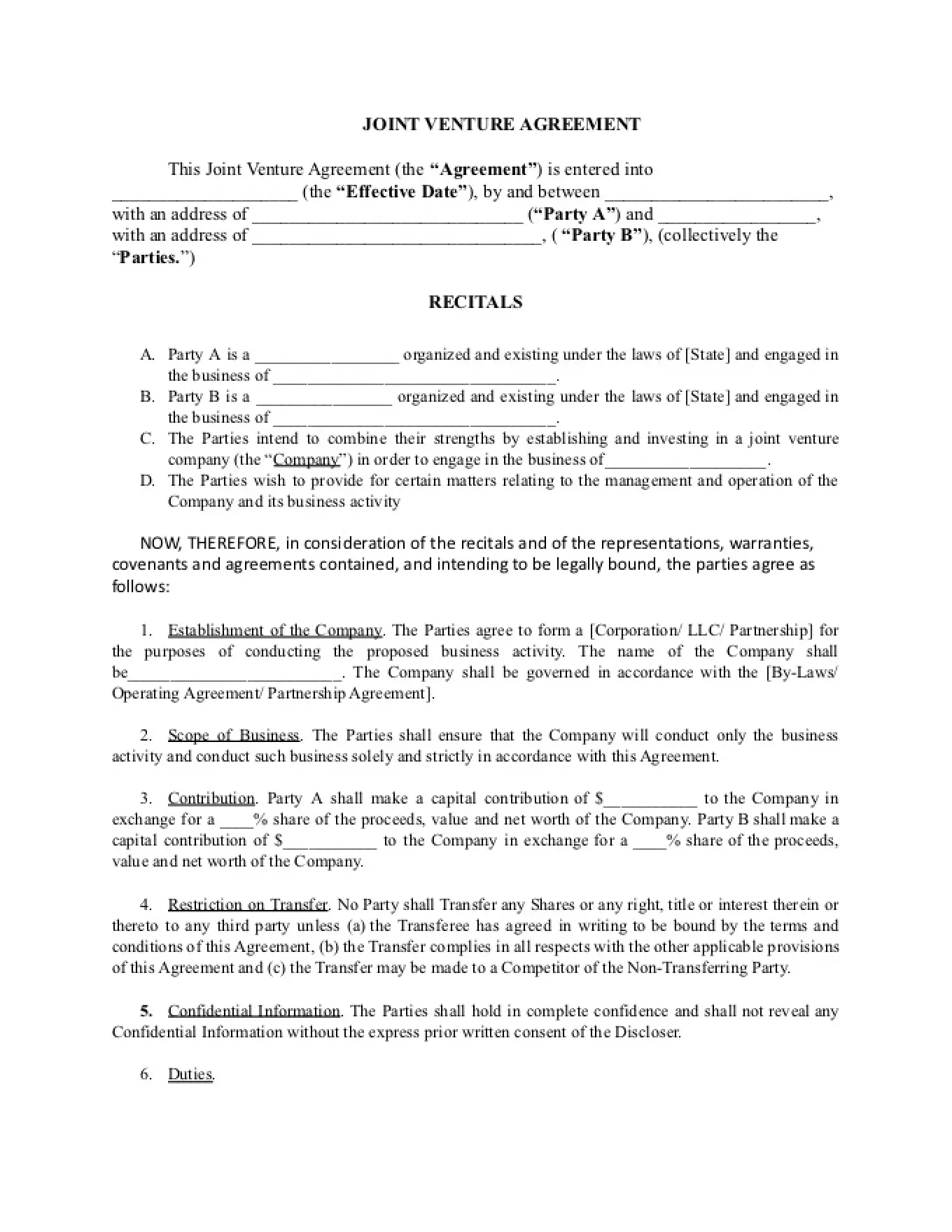
Una plantilla completa de acuerdo de joint venture incluirá las siguientes disposiciones:

  • Identificación de todas las partes involucradas en la empresa conjunta. Estas personas pueden denominarse "parte A" y "parte B". Sus nombres y direcciones deben figurar al principio del documento. También deben mencionarse sus intenciones comerciales. Por ejemplo: "La parte A se dedica al negocio de ____".
  • Describa el alcance de la empresa. Explique qué tipo de entidad pretenden constituir las partes identificadas. Las opciones pueden incluir sociedades anónimas, SRL o sociedades colectivas. Esta sección también puede incluir el nombre de la empresa recién constituida, así como la necesidad de gestionarla conforme a las estipulaciones del contrato de sociedad o los estatutos que la acompañan.
  • Aportaciones de capital y participaciones recibidas.Es posible que las partes identificadas en el contrato no puedan aportar la misma cantidad de capital. Por ello, el documento debe indicar cuánto aportará cada parte, así como la participación en el negocio que se concederá a cambio de dicho capital.
  • Responsabilidades asignadas. Además de aportar capital, es posible que quienes firmen acuerdos de empresa conjunta deban asumir responsabilidades distintas. Éstas deben estar claramente definidas en el acuerdo.
  • Descripción de situaciones de incumplimiento y soluciones. Destaque las distintas situaciones que constituyen un incumplimiento de contrato. Algunos ejemplos pueden ser la quiebra, los embargos o las violaciones del acuerdo. El contrato también debe explicar cómo procedería la resolución en caso de incumplimiento.

Mejores Prácticas para Personalizar un Modelo de Acuerdo de Joint Venture

Si bien un modelo de acuerdo de joint venture normalmente incluirá todas las cláusulas esenciales descritas anteriormente, estos documentos deben ajustarse según sea necesario para reflejar las realidades de la empresa específica.

Estas mejores prácticas deben asegurar que cada plantilla se utilice apropiadamente:

  • Concéntrese en sus propios intereses. Si tiene buenas relaciones con la otra persona implicada en la empresa conjunta, puede resultar tentador aceptar acuerdos que no le beneficien a usted ni a sus resultados a largo plazo. Cuando examines el acuerdo de empresa conjunta, recuerda que hay mucho de cierto en el cliché "no es personal, son sólo negocios".
  • Comprueba dos veces el documento antes de firmarlo. Antes de firmar un acuerdo de empresa conjunta, debes sentirte 100% seguro de que se ha personalizado para reflejar el futuro que deseas para tu negocio. Examine detenidamente cada detalle para asegurarse de que el documento le ofrece toda la protección que merece.
  • Con el tiempo, puede que algunos aspectos del acuerdo de empresa conjunta dejen de ser relevantes. Por ello, el modelo debe incluir una disposición que permita introducir modificaciones, siempre que todas las partes estén de acuerdo y se completen por escrito.

Cómo firmar un acuerdo de empresa conjunta

Una vez que haya examinado las plantillas de acuerdos de joint venture y realizado los ajustes pertinentes, es hora de dar el paso final y hacer que ambas partes firmen el documento.

Las firmas múltiples conllevan la necesidad adicional de seguridad; una solución como NitroSign puede ayudarle. No dude en suscribirse a nuestra  prueba gratuita , que le demostrará el valor de nuestro flujo de trabajo optimizado de eSign.

DESCARGO DE RESPONSABILIDAD: Las plantillas de contrato proporcionadas en el sitio web de Nitro son sólo para fines informativos y están pensadas como punto de partida para crear documentos personalizados. El contenido mostrado aquí, incluidas las plantillas, no constituye asesoramiento legal. Nitro no representa ni garantiza la exactitud, integridad o idoneidad de la información proporcionada. El uso de estos materiales corre por su cuenta y riesgo. Recomendamos encarecidamente consultar a un asesor legal cualificado para garantizar el cumplimiento de las leyes y normativas aplicables.

  

Descubra lo que Nitro puede hacer por usted

Dé hoy el siguiente paso hacia el éxito digital.

Icon-48px-Rapid Support

Contactar con ventas

Hable con nuestros expertos sobre las necesidades de su empresa y explore opciones rentables para las soluciones PDF y eSign de primera clase de Nitro.
Póngase en contacto con nosotros
Icon-48px-Smart signing

Prueba gratuita

Pruebe las soluciones PDF y eSign de Nitro para editar, firmar y organizar documentos sin esfuerzo, ¡gratis durante 14 días!
Comience su prueba gratuita
icon of people with a plus sign

Conviértase en socio

Descubra nuestras emocionantes oportunidades de colaboración para las soluciones documentales de confianza de Nitro
Asóciese con Nitro hoy mismo