Skip to content
PDF Template

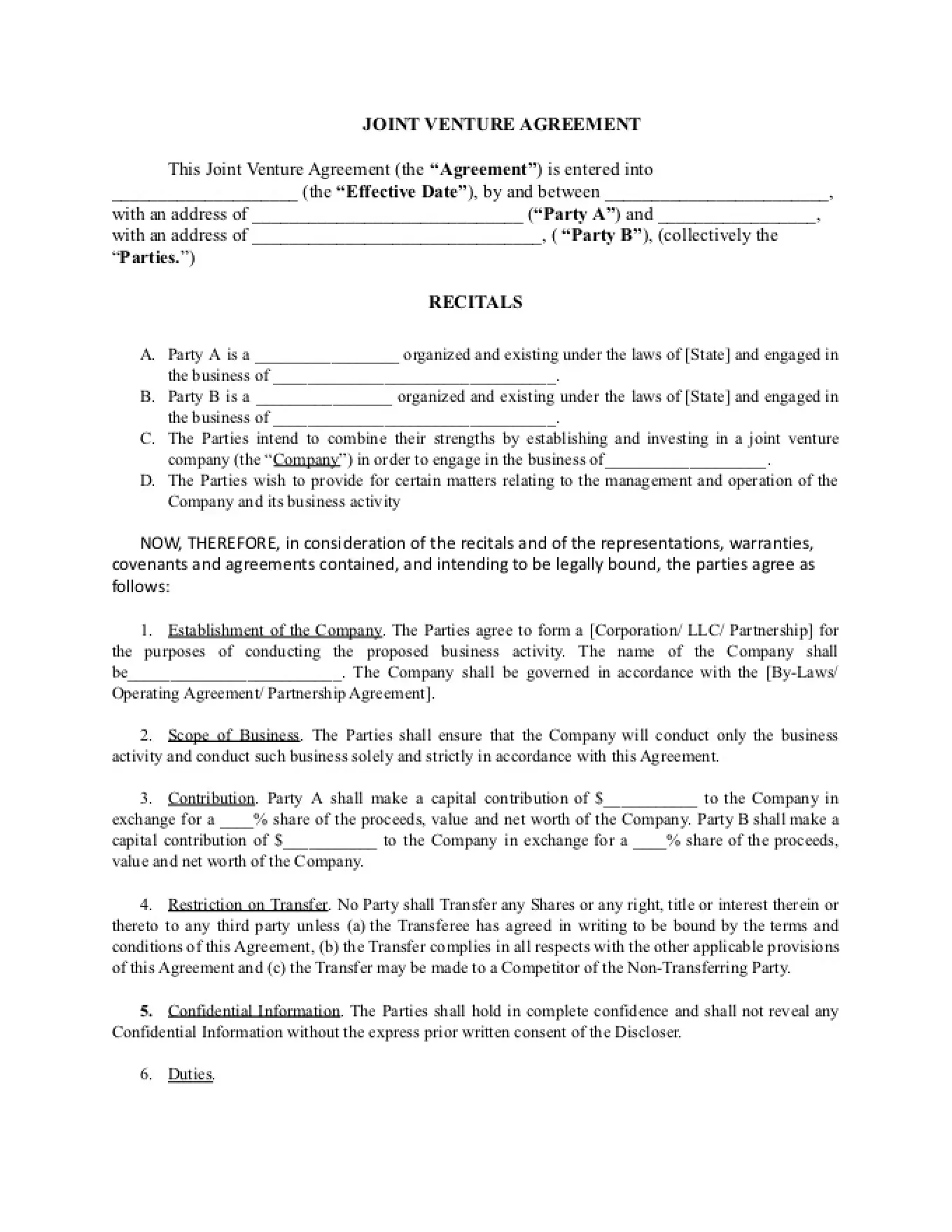
Joint Venture Agreement

A joint venture agreement addresses key risks by describing the rights and responsibilities of business partners. It also highlights procedures for resolving disputes. As important as this contract is, however, it can be difficult to understand. To clarify, we'll explain the following below:

  • Important Clauses Every Joint Venture Agreement Should Include
  • Best Practices for Customizing a Joint Venture Agreement Template

Important Clauses Every Joint Venture Agreement Should Include

A thorough joint venture agreement template will include the following provisions:

  • Identification of all parties involved in the joint venture. These individuals may be referred to as "party A" and "party B." Their names and addresses should be shared at the outset of the document. Their business intentions should also be mentioned. For example: "Party A is engaged in the business of ____."
  • Describe the scope of the venture. Explain which type of entity the identified parties intend to form. Options might include corporations, LLCs, or general partnerships. This section can also include the name of the newly formed company, as well as the need to operate it under the stipulations of the accompanying partnership agreement or bylaws.
  • Capital contributions and shares received. The parties identified in the contract may not be capable of contributing the same amount of capital. As such, the document should outline how much each party will provide, as well as the share of the business that will be granted in exchange for said capital.
  • Assigned responsibilities. In addition to providing capital, those who sign joint venture agreements may be required to carry out separate responsibilities. These should be clearly defined in the agreement. 
  • Description of default situations and remedies. Highlight the various situations that constitute a contract default. Examples might include bankruptcy, levies, or violations of the agreement. The contract should also explain how termination would proceed in the event of a default.

Best Practices for Customizing a Joint Venture Agreement Template

While a joint venture agreement template will typically include all of the essential clauses outlined above, these documents should be adjusted as needed to reflect the realities of the specific venture.

These best practices should ensure that each template is used appropriately:

  • Focus on your own best interests. If you are on good terms with the other person involved with the joint venture, it can be tempting to concede to arrangements that don't actually benefit you or your bottom line in the long-run. As you examine the joint venture agreement, remember that there is a lot of truth to the cliche "it's not personal, it's just business."
  • Double-check the document before signing. Prior to signing a joint venture agreement, you should feel 100 percent confident that it has been customized to reflect your desired future for your business. Take a close look at every detail to ensure that the document provides the full protection you deserve.
  • Provide opportunities to modify the agreement. Over time, certain aspects of the joint venture agreement may no longer prove relevant. As such, the template should include a provision that allows for amendments, as long as these are agreed to by all parties and completed in writing.

How to Get a Joint Venture Agreement Signed

Once you've examined joint venture agreement templates and made the appropriate adjustments, it's time to take the final step and have both parties sign the document.

With multiple signatures comes the additional need for security; a solution such asNitro Sign can help. Feel free to sign up for our complimentary trial, which will demonstrate the value of our streamlined eSign workflow.

 

DISCLAIMER: The contract templates provided on Nitro's website are for informational purposes only and are intended as a starting point for creating customized documents. The content shown here, including the templates, does not constitute legal advice. Nitro makes no representations or warranties regarding the accuracy, completeness, or suitability of the information provided. Use of these materials is at your own risk. We strongly recommend consulting qualified legal counsel to ensure compliance with applicable laws and regulations.

See what Nitro can do for you

Take the next step to digital success today.

Icon-48px-Rapid Support

Contact sales

Talk to our experts about your business needs, and explore cost-effective options for Nitro's world-class PDF and eSign solutions.
Get in touch
Icon-48px-Smart signing

Free trial

Try Nitro’s PDF and eSign solutions to edit, sign, and organize documents effortlessly—free for 14 days!
Start your free trial
icon of people with a plus sign

Become a partner

Learn about our exciting partner opportunities for Nitro's trusted document solutions.
Partner with Nitro today